Sulfobutileter beta ciclodextrină pulbere de sodiu
IMG
VIDEO

Sulfobutileter beta ciclodextrină pulbere de sodiu

Sulfobutileter beta ciclodextrină pulbere de sodiu
Număr CAS: 182410-00-0
Aspect: pulbere amorfă albă până la aproape albă
Gradul: grad de injectare / excipient farmaceutic
Test: ≥ 99,0% (pe bază anhidră)
Solubilitate: liber solubil în apă
Endotoxine bacteriene: ≤ 10 EU/g
Standard executiv: USP / EP / ChP

Trimite o anchetă

Descriere produs


Ce este Sulfobutylether Beta Cyclodextrin Sodium Powder?


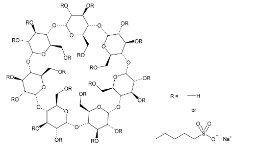
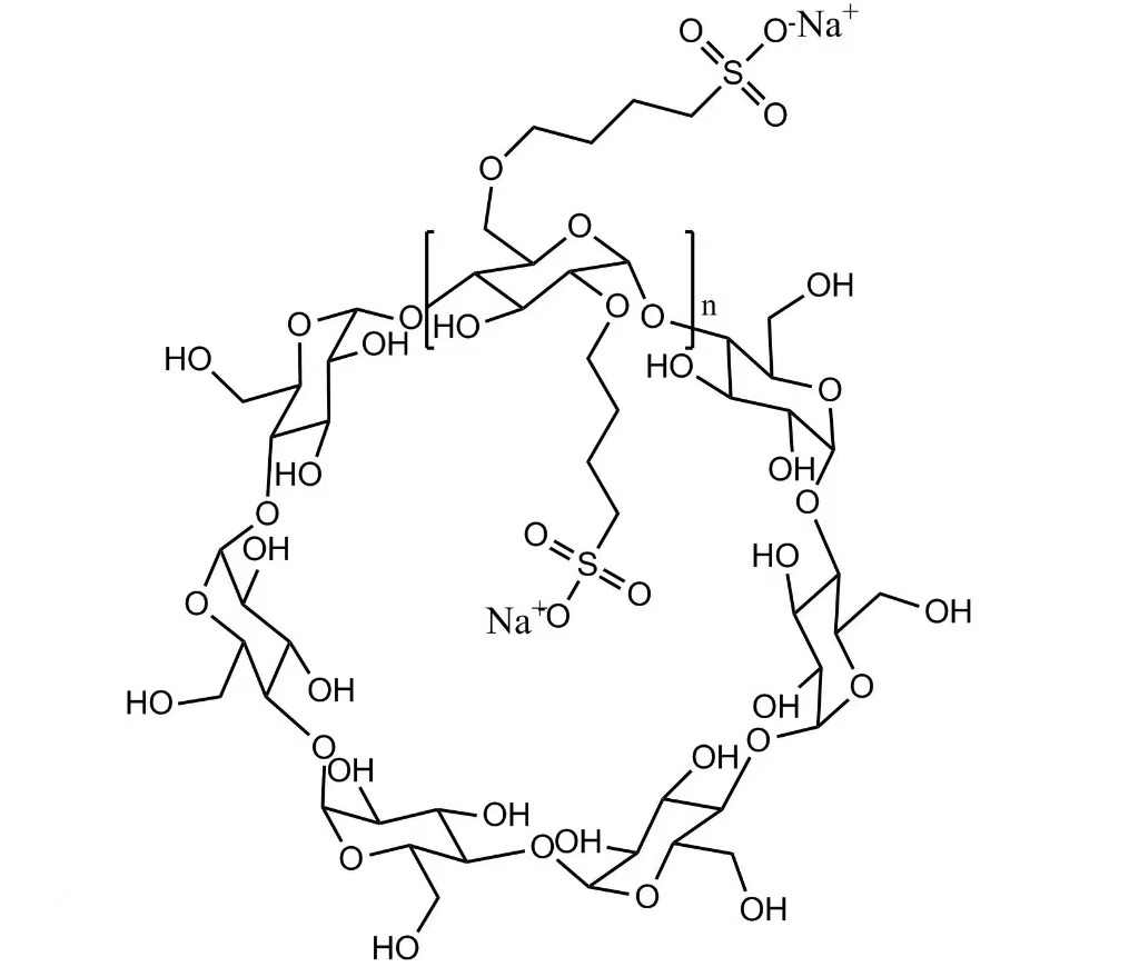
Sulfobutileter beta ciclodextrină de sodiu Powder este un derivat de β-ciclodextrină anionic, foarte solubil în apă, utilizat ca excipient farmaceutic. Este produs prin modificarea chimică a beta ciclodextrinei cu grupări sulfobutil eter în condiții alcaline controlate, rezultând o sare de sodiu cu proprietăți de solubilizare excelente.

Acest excipient de calitate injectabilă este conceput pentru a forma complexe de incluziune stabile, necovalente cu ingrediente farmaceutice active (API) slab solubile. Prin încapsularea moleculelor de medicament, pulberea de sodiu Sulfobutylether Beta Cyclodextrin îmbunătățește semnificativ solubilitatea, stabilitatea și biodisponibilitatea medicamentului, reducând în același timp iritația locală, hemoliza și toxicitatea renală.

Datorită profilului său ridicat de siguranță și capacității puternice de complexare, pulberea de sodiu Sulfobutylether Beta Cyclodextrin este utilizată pe scară largă în formulările farmaceutice parenterale, în special pentru medicamentele injectabile antifungice, antivirale, oncologice și cardiovasculare. Este în conformitate cu standardele farmacopeale majore, cum ar fi USP și EP și este potrivit pentru aplicații farmaceutice clinice și comerciale.


Specificații pentru pulbere de sodiu sulfobutileter beta ciclodextrină


Produsul naeu
Sulfobutileter beta ciclodextrină de sodiu
CAS Nr.
182410-00-0
Aspect Pulbere albă sau aproape albă, higroscopică.
Standard executiv USP / EP / ChP
Ambalare 500 g/sac; 1 kg/sac; 10 kg/sac; 10 kg/tambur
Sinonieu SBE-p-CD; Sulfobutil eter beta-ciclodextrină; Betadex sulfobutil eter de sodiu
TEST ≥99%
Endotoxine bacteriene
≤10EU/g
MOQ 1 kg


Sulfobutileter beta ciclodextrină pulbere de sodiu COA


Care este utilizarea și beneficiile Sulfobutyl Ether Beta Cyclodextrin (SBECD)?

1. Utilizări de sulfobutil eter beta ciclodextrine (SBECD)

Sulfobutil Eter Beta Ciclodextrină (SBECD) este utilizată în principal ca excipient farmaceutic, în special în:


  • Formulări de medicamente injectabile (parenterale).
  • Preparate oftalmice (oculare).
  • Sisteme de administrare a medicamentelor nazale și pulmonare
  • Formulări de API slab solubili în apă, cum ar fi medicamentele antifungice, antivirale, anticanceroase și cardiovasculare


2. Beneficiile Sulfobutil Eter Beta Ciclodextrine (SBECD)


  • Îmbunătățește semnificativ solubilitatea în apă a medicamentelor slab solubile
  • Îmbunătățește stabilitatea medicamentului prin formarea de complexe de incluziune non-covalente
  • Îmbunătățește siguranța medicamentelor, în special pentru formulările injectabile
  • Reduce toxicitatea renală în comparație cu unii solubilizanți tradiționali
  • Minimizează hemoliza și iritația la locul injectării
  • Controlează rata de eliberare a medicamentelor, îmbunătățind performanța terapeutică
  • Mască mirosul sau gustul neplăcut al API-urilor
  • Solubilitate apoasă ridicată și toxicitate scăzută, potrivite pentru utilizare parenterală

De ce să ne alegeți?


Peste 20 de ani de experiență în producție

Cu mai mult de două decenii de experiență dedicată în fabricarea ciclodextrinei și a derivaților de ciclodextrine, Xi'an Deli Biochemical Industry Co., Ltd. și-a construit o reputație solidă pentru calitatea produselor, stabilitatea procesului și aprovizionarea fiabilă.


Capacitate de producție la scară largă și stabilă

Operăm linii de producție la scară industrială cu o capacitate anuală de 500 de tone de Hydroxypropyl Betadex și 200 de tone de Betadex Sulfobutyl Ether Sodium, asigurând o aprovizionare stabilă pentru aplicații comerciale și clinice pe termen lung.


Asigurarea calității de grad farmaceutic

Produsele noastre sunt fabricate conform unui sistem strict de management al calității, cu o zonă curată dedicată Clasa D, proiectată în conformitate cu cerințele de producție farmaceutică. Testarea cuprinzătoare în timpul procesului și a produsului final asigură o consistență excelentă de la lot la lot.


Capacități avansate de analiză și testare

Echipat cu instrumente analitice moderne, cum ar fi HPLC, GC, IC, electroforeză capilară, FTIR și teste susținute de RMN, laboratorul nostru este capabil să îndeplinească cerințele farmacopeale ale USP, EP și ChP, susținând dezvoltarea formulării și conformitatea cu reglementările.


Suport de reglementare și experiență pe piața globală

Produsele noastre cheie, inclusiv Hydroxypropyl Betadex și Betadex Sulfobutyl Ether Sodium, au fost înregistrate și depuse la FDA, demonstrând experiența noastră în sprijinirea clienților pe piețele farmaceutice globale.


Suport tehnic orientat către client

Oferim asistență tehnică profesională, asistență pentru documentare și îndrumări legate de formulare, lucrând îndeaproape cu clienții de la dezvoltarea timpurie până la furnizarea comercială pe termen lung.


Calificarea companiei

Xi’an Deli Biochemical Industry Co., Ltd. Certificate.

De-a lungul anilor, Xi’an Deli Biochemical Industry Co., Ltd. s-a angajat continuu în optimizarea procesului de fabricație și în stabilirea unui sistem cuprinzător de management al calității pentru ciclodextrine și derivații acestora.


FAQ

1. Sunteți producător sau companie comercială?

Suntem un producător profesionist specializat în ciclodextrină și derivați de ciclodextrină. Toate produsele sunt produse la propria noastră unitate de producție din Xi’an, China.


2. Care sunt produsele dumneavoastră principale?

Produsele noastre principale sunt Hydroxypropyl Betadex (HPBCD) și Betadex Sulfobutyl Ether Sodium (SBECD), care sunt utilizate pe scară largă ca excipienți farmaceutici, în special în formulări injectabile și orale.


3. Produsele dumneavoastră îndeplinesc standardele farmacopee?

Da. Produsele noastre respectă cerințele USP, EP și Farmacopeea Chineză. Certificatele complete de analiză (COA) sunt furnizate cu fiecare lot.


4. Furnizați materiale de calitate injectabilă?

Da. Suntem specializați în derivați de ciclodextrină de calitate injectabilă, cu control strict al impurităților, endotoxinelor și consistenței lot la lot.


5. Care este capacitatea dumneavoastră de producție?

Hidroxipropil Betadex: 500 de tone metrice pe an

Betadex Sulfobutil Eter Sodiu: 200 de tone metrice pe an


6. Oferiți mostre pentru evaluare?

Da. Probele gratuite sunt disponibile la cerere pentru dezvoltarea și testarea formulării.


7. Puteți sprijini furnizarea comercială pe termen lung?

Da. Cu linii de producție la scară largă și sisteme de calitate stabile, sprijinim furnizarea pe termen lung și la scară comercială pentru clienții farmaceutici globali.


8. Ce sisteme de calitate urmați?

Operăm conform ISO 9001:2015, susținut de echipamente analitice avansate și un laborator dedicat de control al calității pentru a asigura consistența și conformitatea produsului.



Hot Tags: Sulfobutylether Beta Cyclodextrin Sodium Powder, Producători, Furnizori, China, Fabrică, vrac, Probă gratuită, Fabricat în China, În stoc, Comerț cu ridicata, Cumpărare

Categorie aferentă

Trimite o anchetă

Vă rugăm să nu ezitați să trimiteți întrebarea dvs. în formularul de mai jos. Vă vom răspunde în 24 de ore.
icon
X
Folosim cookie-uri pentru a vă oferi o experiență de navigare mai bună, pentru a analiza traficul site-ului și pentru a personaliza conținutul. Prin utilizarea acestui site, sunteți de acord cu utilizarea cookie-urilor. Politica de confidențialitate
Respinge Accepta