CAS 182410-00-0 Sulfobutileter beta ciclodextrină de sodiu

CAS 182410-00-0 Sulfobutileter beta ciclodextrină de sodiu

CAS 182410-00-0 Sulfobutylether Beta Cyclodextrin Sodium este un derivat al ciclodextrinei și un nou tip de excipienți farmaceutici din China DELI.

Trimite o anchetă

Descriere produs

CAS 182410-00-0 Sulfobutileter beta ciclodextrină de sodiu

CAS 182410-00-0 Sulfobutileter beta ciclodextrină de sodiu

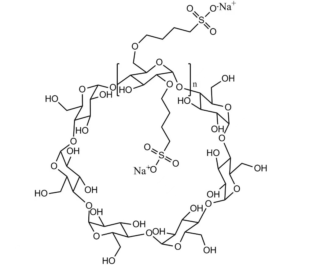
Sulfobutylether Beta Cyclodextrin Sodium (SBECD) este un derivat de β-ciclodextrină anionic, foarte solubil în apă, dezvoltat ca excipient farmaceutic pentru sistemele de administrare a medicamentelor injectabile și parenterale. Prin formarea complexului de incluziune necovalentă cu ingrediente farmaceutice active (API), SBECD îmbunătățește semnificativ solubilitatea, stabilitatea și siguranța formulării medicamentelor slab solubile în apă.

Cu o biocompatibilitate excelentă, activitate hemolitică scăzută și toxicitate controlată, Sulfobutylether Beta Cyclodextrin Sodium a devenit un excipient larg acceptat în formulările farmaceutice moderne, în special în terapiile antivirale, antifungice, oncologice și cardiovasculare.

Informații de bază despre produs

Sulfobutylether Beta Cyclodextrin Sodium apare ca o pulbere amorfă albă până la aproape albă și este liber solubilă în apă. Produsul este furnizat ca calitate injectabilă și fabricat în conformitate cu USP, EP și standardele relevante ale întreprinderii, asigurând adecvarea pentru aplicațiile farmaceutice reglementate.

Formula moleculară: C42H70-nO35·(C4H8AŞA3N / A)n
Nota:Grad de injectare
Domeniu de aplicare:Formulări farmaceutice

Caracteristici chimice și funcționale

SBECD este un derivat anionic al betadexului, în care grupările sulfobutil eter sunt introduse în structura β-ciclodextrinei. Această modificare chimică îmbunătățește foarte mult solubilitatea în apă și permite formarea de complexe de incluziune stabile, dar reversibile, cu molecule de medicament.

Din punct de vedere funcțional, Sulfobutylether Beta Cyclodextrin Sodium acționează ca solubilizator, stabilizator și modulator de eliberare a medicamentelor, îmbunătățind performanța formulării fără a modifica chimic ingredientul activ.

Beneficii cheie

În formulările farmaceutice, SBECD îmbunătățește semnificativ solubilitatea apoasă a API-urilor slab solubile și îmbunătățește atât stabilitatea chimică, cât și fizică. În comparație cu agenții de solubilizare convenționali, prezintă toxicitate renală redusă, potențial hemolitic minim și iritație scăzută la locul injectării.

SBECD acceptă, de asemenea, biodisponibilitatea consecventă, eliberarea controlată a medicamentelor și, atunci când este cazul, mascarea eficientă a mirosului sau gustului neplăcut al API-urilor.

Aplicații farmaceutice

Sulfobutylether Beta Cyclodextrin Sodium este utilizat în principal în forme de dozare parenterală, inclusiv injecții intravenoase, intramusculare și subcutanate. De asemenea, este potrivit pentru soluții oftalmice, formulări nazale și sisteme specializate de administrare a medicamentelor care necesită solubilitate și stabilitate îmbunătățite.

Produsul este aplicat pe scară largă în formulări de medicamente antivirale, antifungice, oncologice, cardiovasculare și pentru sistemul nervos central.

Experiență de comercializare a medicamentelor

SBECD a fost aplicat cu succes în mai multe produse injectabile comercializate comercial, demonstrând siguranța și performanța sa dovedite. Aplicațiile reprezentative includ injecția cu remdesivir, injecția cu voriconazol, injecția cu posaconazol, clorhidratul de melfalan pentru injecție și injecția cu mesilat de ziprasidonă.

Specificații tipice de calitate

Produsul de calitate injectabilă îndeplinește cerințe stricte de control al calității. Valorile testelor sunt controlate între 95,0% și 105,0% pe bază anhidră, cu un grad mediu de substituție variind de obicei de la 6,2 la 6,9. Impuritățile, betadexul rezidual și sărurile anorganice sunt strict limitate.

Nivelurile de endotoxine bacteriene respectă cerințele de utilizare parenterală, iar limitele microbiene sunt conforme cu standardele USP. Claritatea soluției și profilele de impurități sunt monitorizate conform metodelor farmacopeale. Fiecare lot este livrat cu un certificat de analiză (COA) complet.

Introducere companie

Xi’an Deli Biochemical Industry Co., Ltd. este o întreprindere de înaltă tehnologie specializată în cercetarea, dezvoltarea, producția și vânzarea de ciclodextrine și derivații acestora. Înființată în 1999, compania are peste 26 de ani de experiență în producția de excipienți farmaceutici.

Compania operează o unitate de producție modernă situată în districtul Lintong, Xi’an, care acoperă aproximativ 17,8 mu. Produsele sale de bază includ marca DELI Hydroxypropyl Betadex și Betadex Sulfobutyl Ether Sodium, ambele au fost înregistrate și depuse la FDA.

Cu o capacitate de producție anuală de 500 de tone metrice de Hydroxypropyl Betadex și 200 de tone metrice de Sulfobutylether Beta Cyclodextrin Sodium, Xi'an Deli Biochemical oferă aprovizionare de încredere, pe scară largă, clienților farmaceutici din întreaga lume.

Asigurarea calității și capacitatea de producție

Xi’an Deli Biochemical operează în conformitate cu un sistem de management al calității certificat ISO 9001 și este echipat cu instrumente analitice avansate, cum ar fi HPLC, GC, cromatografia ionică, electroforeză capilară și FTIR. Se aplică un control strict al calității de la materiile prime până la produsele finite, asigurând o consistență excelentă de la lot la lot.

Ambalare, depozitare și termen de valabilitate

Produsul este disponibil în variante de ambalare de 500 g, 1 kg și 10 kg. Sulfobutylether Beta Cyclodextrin Sodium trebuie păstrat într-un loc răcoros și uscat, în recipiente bine închise și ferit de umiditate. În condițiile de depozitare recomandate, termenul de valabilitate este de până la 36 de luni.

De ce să alegeți Xi’an Deli Biochemical

Cu zeci de ani de experiență în fabricarea ciclodextrinei, linii de producție dedicate de calitate injectabilă și performanță globală dovedită a aprovizionării, Xi'an Deli Biochemical este un partener de încredere pentru Sulfobutylether Beta Cyclodextrin Sodium de înaltă calitate. Compania oferă calitate constantă, capacitate de producție scalabilă și suport tehnic puternic pentru dezvoltarea formulării.

Contactaţi-ne

Pentru mostre, date tehnice sau oferte pentruCAS 182410-00-0 Sulfobutileter beta ciclodextrină de sodiu, vă rugăm să contactați Xi’an Deli Biochemical Industry Co., Ltd.

Hot Tags: CAS 182410-00-0 Sulfobutylether Beta Cyclodextrin Sodium, Producători, Furnizori, China, Fabrică, vrac, Probă gratuită, Fabricat în China, În stoc, Comerț cu ridicata, Cumpărare

Categorie aferentă

Trimite o anchetă

Vă rugăm să nu ezitați să trimiteți întrebarea dvs. în formularul de mai jos. Vă vom răspunde în 24 de ore.
icon
X
Folosim cookie-uri pentru a vă oferi o experiență de navigare mai bună, pentru a analiza traficul site-ului și pentru a personaliza conținutul. Prin utilizarea acestui site, sunteți de acord cu utilizarea cookie-urilor. Politica de confidențialitate
Respinge Accepta