Știri din industrie

Soluții pe bază de ciclodextrină pentru îmbunătățirea solubilității și stabilității

2025-12-23 - Lasă-mi un mesaj

Soluții pe bază de ciclodextrină pentru îmbunătățirea solubilității și stabilității

Prezentare tehnică de hidroxipropil betadex și betadex sulfobutil eter de sodiu

Ciclodextrinele sunt recunoscute pe scară largă pentru capacitatea lor de a îmbunătăți solubilitatea și stabilitatea compușilor slab solubili sau sensibili chimic. Datorită structurii lor moleculare ciclice unice, ciclodextrinele și derivații lor au devenit excipienți funcționali importanți în domeniul farmaceutic, chimic și al formulărilor conexe. Ca răspuns la cerințele tehnice și de reglementare în creștere, Xi’an Deli Biochemical a perfecționat în continuare documentația tehnică și asistența pentru produse pentru derivații săi cheie de ciclodextrină:hidroxipropil betadex (HPBCD) și betadex sulfobutil eter de sodiu (SBECD).


Caracteristicile structurale și performanța funcțională a ciclodextrinelor

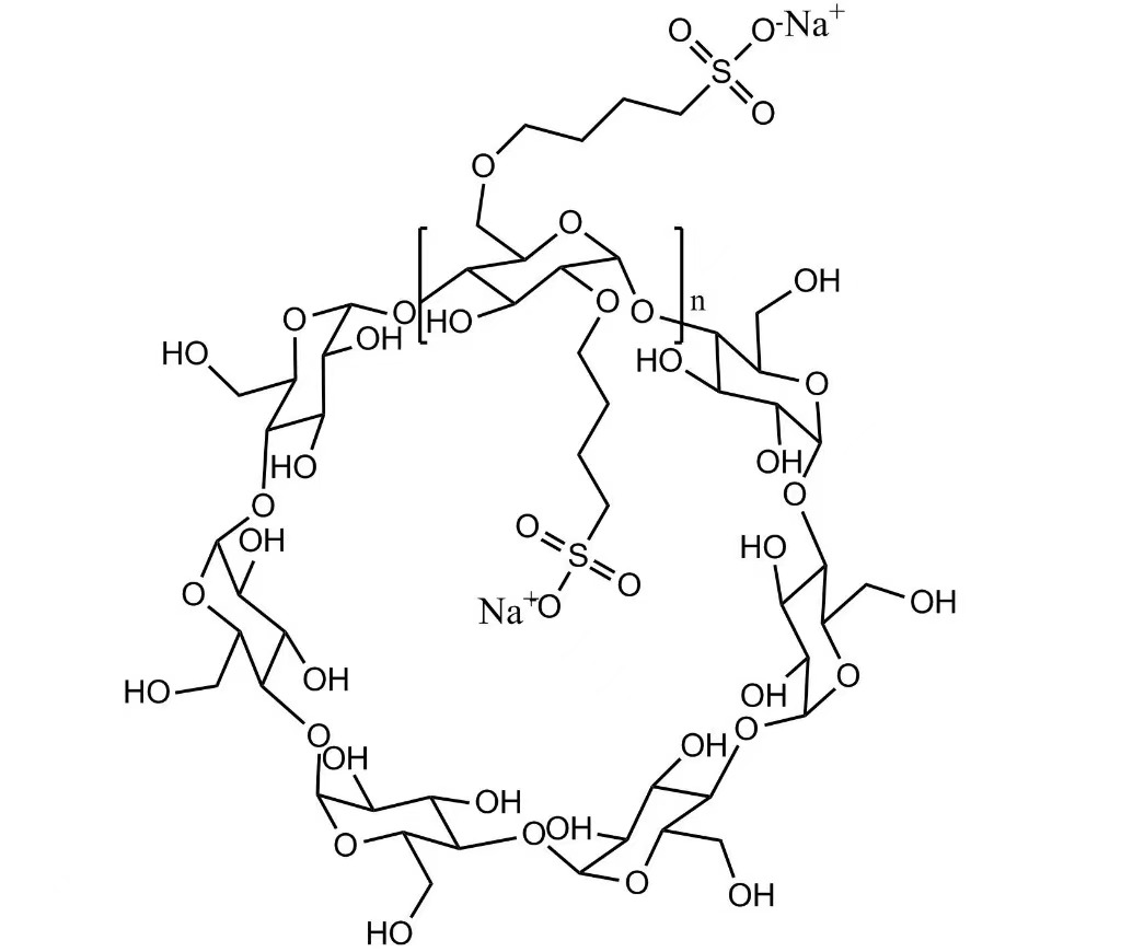
Ciclodextrinele sunt oligozaharide ciclice compuse din unități de glucoză legate prin legături glicozidice α-1,4. Arhitectura lor moleculară prezintă o suprafață exterioară hidrofilă și o cavitate internă relativ hidrofobă, permițând formarea de complexe de incluziune cu o gamă largă de molecule invitate. Modificarea chimică a structurii ciclodextrinei poate îmbunătăți semnificativ solubilitatea apoasă și poate extinde versatilitatea aplicării.


Hidroxipropil Betadex (HPBCD)


Hidroxipropil betadex este o β-ciclodextrină modificată chimic, concepută pentru a depăși solubilitatea limitată a ciclodextrinelor native. Solubilitatea sa îmbunătățită în apă și compatibilitatea favorabilă fac ca HPBCD să fie potrivit pentru aplicații care necesită solubilizare eficientă, stabilizare și flexibilitate de formulare în diverse sisteme.


Betadex sulfobutil eter de sodiu (SBECD)


Betadex sulfobutil eter de sodiu este un derivat anionic de ciclodextrină caracterizat prin substituenți sulfobutil eter. Această structură îmbunătățește interacțiunile electrostatice cu compuși specifici, susținând solubilitatea îmbunătățită, stabilitatea complexă și robustețea formulării în aplicații mai solicitante.

Informații standardizate despre produs și asistență tehnică

Pentru a sprijini mai bine dezvoltarea formulării, evaluarea calității și procesele de achiziție, Xi’an Deli Biochemical a actualizat sistematic informațiile despre produse pentru HPBCD și SBECD, inclusiv:


  • Specificații de produs și parametri analitici clar definite și standardizate
  • Certificate de analiză specifice loturilor (COA) pentru a asigura trasabilitatea și verificarea calității
  • Întrebări frecvente tehnice extinse referitoare la manipulare, depozitare și considerații tipice privind aplicațiile
  • Rezumate optimizate ale produselor concepute pentru a facilita revizuirea și selecția tehnică eficientă


Aceste îmbunătățiri sunt menite să sporească transparența, să reducă termenele de evaluare și să susțină performanța constantă a produsului pe tot parcursul ciclului de aprovizionare.


Experienta in productie si asigurarea calitatii

Înființată în 1999, Xi’an Deli Biochemical aduce 26 de ani de experiență în fabricarea derivaților de ciclodextrină. Compania se concentrează pe producția controlată de hidroxipropil betadex și betadex sulfobutil eter de sodiu, punând accent pe consistența procesului, fiabilitatea de la lot la lot și stabilitatea aprovizionării pe termen lung. Practicile de management al calității structurate sprijină cerințele tehnice, de reglementare și de aprovizionare ale clienților.


Domeniul de aplicare și colaborarea tehnică

Pe baza mecanismelor de includere și stabilizare a ciclodextrinei, HPBCD și SBECD sunt aplicabile în mai multe domenii tehnice, inclusiv formulări legate de farmaceutice, produse chimice de specialitate, produse veterinare și alte sisteme care necesită solubilitate și stabilitate îmbunătățite. Xi’an Deli Biochemical continuă să se angajeze cu partenerii prin comunicarea axată pe aplicații și colaborarea tehnică pentru a sprijini nevoile în evoluție de formulare.


Despre companiile din industria biochimică Xi’an Deli

Fondată în 1999, Xi’an Deli Biochemical Industry Companies este un producător specializat de derivați de ciclodextrină, furnizând hidroxipropil betadex (HPBCD) și betadex sulfobutil eter de sodiu (SBECD) clienților globali. Având un accent de lungă durată pe consistența produsului, specificații clare și suport tehnic practic, compania își menține angajamentul să furnizeze soluții fiabile pe bază de ciclodextrină.


Daca vrei, pot si eu:


  • Optimizați în continuare acest lucru pentru Google SEO (fără a reduce tonul tehnic)
  • Condensați-l într-o versiune „Actualizare tehnică” a paginii produsului
  • Adaptați-l pentru clienții de reglementare/axați pe calitate


Spune-mi doar unde plănuiești să-l publici.


Trimite o anchetă


icon
X
Folosim cookie-uri pentru a vă oferi o experiență de navigare mai bună, pentru a analiza traficul site-ului și pentru a personaliza conținutul. Prin utilizarea acestui site, sunteți de acord cu utilizarea cookie-urilor. Politica de confidențialitate
Respinge Accepta