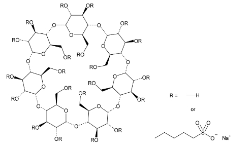
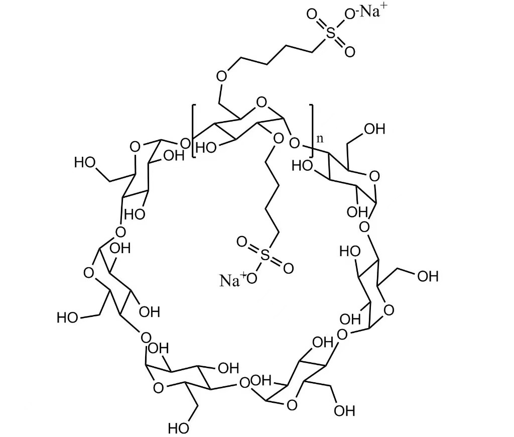
Betadex sulfobutil eter de înaltă calitate (SBE-β-CD)-excipient de ciclodextrină de calitate farmaceutică-CAS 182410-00-0. Îmbunătățește solubilitatea, stabilitatea și biodisponibilitatea.
	 
 
	
Betadex sulfobutil eter de sodiu (SBE-β-CD)-Exccipiență de ciclodextrină de calitate farmaceutică-CAS 182410-00-0
	
Aspect: pulbere alb, dulce, insipid și inofensiv
	
Perioada de valabilitate: 36 de luni
	
Grad: grad de injecție
	
Aplicație: Pharmaceuticals Feild
	
Standard: USP, EP
	
Solubilitate: ≥100 (25 ℃, g/100ml)
	
Metal greu: ≤0.0025%
	
Reducerea zaharurilor: ≤0,05%
	
	
Sulfobutileter-β-ciclodextrină exccipientă farmaceutică nu numai că poate crește solubilitatea medicamentelor, să îmbunătățească stabilitatea și siguranța medicamentului, ci poate reduce stimularea locului de injecție de administrare, medicamentul ajunge rapid la concentrația de sânge necesară, prelungi timpul acțiunii medicamentului.
	
Medicamentul intranazal având absorbție rapidă, cu acțiune rapidă, biodisponibilitate ridicată, administrare convenabilă, ușor de acceptat de către pacienți și poate evita efectul de trecere a ficatului și alte avantaje, a devenit unul dintre punctele de bază ale cercetării farmaceutice. Cu toate acestea, din cauza penetrării scăzute a medicamentelor nazale, multe enzime din cavitatea nazală pot provoca degradarea și adeziunea nazală.
	
Sulfobutileter-β-ciclodextrină excipient farmaceutic este o sare de sodiu produsă atunci când betadex este alchilat de 1,4-butanesul-lactona de acid în condiții alcaline. Este un anion, derivat betadex extrem de solubil în apă. Excipientul farmaceutic sulfobutileter-β-ciclodextrină poate fi bine combinat cu moleculele de medicament pentru a forma necovalent, îmbunătățind astfel stabilitatea, solubilitatea în apă și siguranța medicamentului, reducând toxicitatea renală, ușurând hemoliza medicamentului, controlând rata de eliberare a medicamentului, acoperind mirosul rău etc.
	
	
	 
 
	
Xi'an Deli Biochemical Industry Co., Ltd. este o întreprindere de înaltă tehnologie specializată în cercetare și dezvoltare, producție și vânzări de ciclodextrină și derivatele sale.
De la înființarea sa din 27 august 1999, compania a aderat la politica de calitate a „concentrării pe accesorii, calitate în primul rând, serviciu sincer, care se străduiește pentru prima clasă”. După mai bine de 20 de ani de muncă grea și dezvoltare, compania are în prezent produse Deli Brand Hydroxypropyl Betadex, Deli Brand Betadex Sulfobutil Ether Ether. Produsele de mai sus au fost înregistrate și depuse la FDA.
	
	